Фиш IV.VIII.1 - Обжалване

Фиш IV.VIII.1 - Обжалване

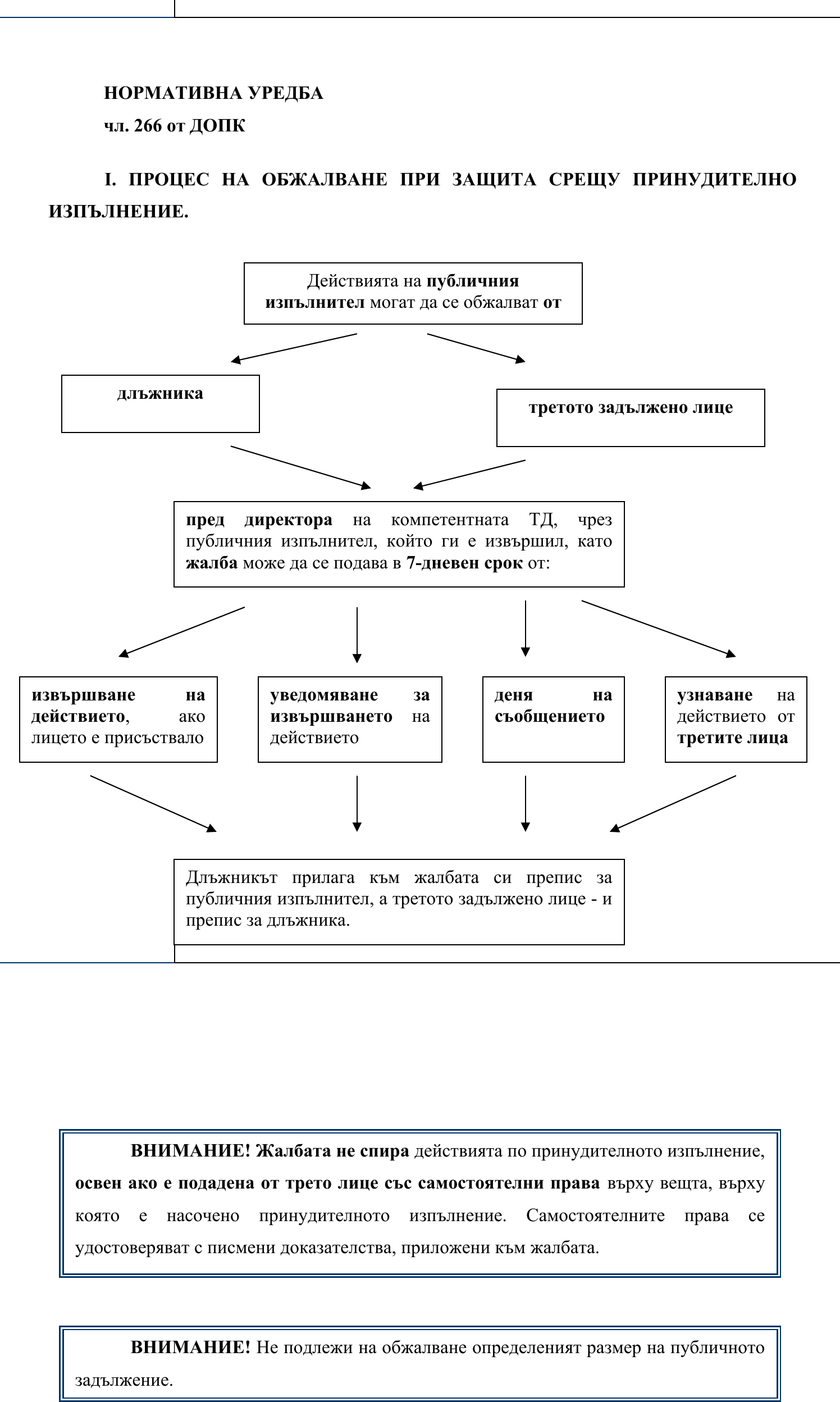
ГЛАВА ІV. СЪБИРАНЕ НА ПУБЛИЧНИТЕ ВЗЕМАНИЯ ФИШ ІV.VІІІ.1 РАЗДЕЛ ІV.VІІІ. ЗАЩИТА СРЕЩУ ПРИНУДИТЕЛНО ИЗПЪЛНЕНИЕ ОБЖАЛВАНЕ НОРМАТИВНА УРЕДБА чл. 266 от ДОПК І. ПРОЦЕС НА ОБЖАЛВАНЕ ПРИ ЗАЩИТА СРЕЩУ ПРИНУДИТЕЛНО ИЗПЪЛНЕНИЕ. Действията на публичния изпълнител могат да се обжалват от длъжника третото задължено лице пред директора на компетентната ТД, чрез публичния изпълнител, който ги е извършил, като жалба може да се подава в 7-дневен срок от: извършване на уведомяване за деня на узнаване на действието, ако извършването на съобщението действието от лицето е присъствало действието третите лица Длъжникът прилага към жалбата си препис за публичния изпълнител, а третото задължено лице - и препис за длъжника. НАРЪЧНИК ПО ДОПК, 2012 ГЛАВА ІV. СЪБИРАНЕ НА ПУБЛИЧНИТЕ ВЗЕМАНИЯ ФИШ ІV.VІІІ.1 РАЗДЕЛ ІV.VІІІ. ЗАЩИТА СРЕЩУ ПРИНУДИТЕЛНО ИЗПЪЛНЕНИЕ ОБЖАЛВАНЕ ВНИМАНИЕ! Жалбата не спира действията по принудителното изпълнение, освен ако е подадена от трето лице със самостоятелни права върху вещта, върху която е насочено принудителното изпълнение. Самостоятелните права се удостоверяват с писмени доказателства, приложени към жалбата. ВНИМАНИЕ! Не подлежи на обжалване определеният размер на публичното задължение. НАРЪЧНИК ПО ДОПК, 2012 ГЛАВА ІV. СЪБИРАНЕ НА ПУБЛИЧНИТЕ ВЗЕМАНИЯ ФИШ ІV.VІІІ.1 РАЗДЕЛ ІV.VІІІ. ЗАЩИТА СРЕЩУ ПРИНУДИТЕЛНО ИЗПЪЛНЕНИЕ ОБЖАЛВАНЕ НАРЪЧНИК ПО ДОПК, 2012

Статии от КиК

Статии от КиК (виж още)

Последно от форума

Управител и собственик на ЕООД на трудов договор със същата фирма

113
Благодаря ви за бързите отговори. Относно терминологията - не съм специалист и се опитвам да вникна в изискванията на всяка една...

Трудов стаж- проверка

68
Много благодаря за бързия отговор! Успешен ден!

Попълване на ГДД по чл.50 при извършване на продажби чрез НП като физическо лице

22
Здравейте ! Предстои ми да подавам ГДД по чл.50 за 2025 год. От доста години продавам лични вещи по интернет. През 2025 г освен ...

Данъчно облекчение

99
Не, ако нямате и други доходи за деклариране и работодателят Ви е определил правилно дължимия данък и съответно възстановил данъ...
Още от форума